YouTube Excerpt: Optimization Problems

Information Profile Overview

  1. Topic 5 Optimization Problems 6 - Latest Information & Updates 2026 Information & Biography
  2. Salary & Income Sources
  3. Career Highlights & Achievements
  4. Assets, Properties & Investments
  5. Information Outlook & Future Earnings

Topic 5 Optimization Problems 6 - Latest Information & Updates 2026 Information & Biography

Topic 5 Optimization Problems (6) Details
Looking for information about Topic 5 Optimization Problems 6 - Latest Information & Updates 2026? We've researched comprehensive data, latest updates, and detailed insights about Topic 5 Optimization Problems 6 - Latest Information & Updates 2026. Explore everything you need to know about this topic.

Details: $85M - $114M

Salary & Income Sources

Optimization Problems - Calculus Details
Explore the primary sources for Topic 5 Optimization Problems 6 - Latest Information & Updates 2026. From highlights to returns, find out how they built their profile over the years.

Career Highlights & Achievements

How to Solve ANY Optimization Problem [Calc 1] Content
Stay updated on Topic 5 Optimization Problems 6 - Latest Information & Updates 2026's latest milestones. Whether it's record-breaking facts or contributions, we track the accomplishments that shaped their success.

Calculus 30 Unit 6 Optimization Problems Example #5 Net Worth
Calculus 30 Unit 6 Optimization Problems Example #5
Optimization Problem in Calculus - Super Simple Explanation Net Worth
Optimization Problem in Calculus - Super Simple Explanation
Famous Topic 5 Optimization Problems (5) Profile
Topic 5 Optimization Problems (5)
Topic 5  Optimization Problems (2) Wealth
Topic 5 Optimization Problems (2)
Famous Topic 5 Optimization Problems by Graphing Calculator Wealth
Topic 5 Optimization Problems by Graphing Calculator
Lesson 5.6 -Optimization problems and Closed Interval Test Wealth
Lesson 5.6 -Optimization problems and Closed Interval Test
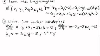
Famous Constrained Optimization Lecture II Part 6: Lagrangian Example 5 Profile
Constrained Optimization Lecture II Part 6: Lagrangian Example 5
Famous Linear Programming (Optimization) 2 Examples Minimize & Maximize Net Worth
Linear Programming (Optimization) 2 Examples Minimize & Maximize
Famous What is Optimisation? (5 of 6: Constructing a model) Profile
What is Optimisation? (5 of 6: Constructing a model)

Assets, Properties & Investments

This section covers known assets, real estate holdings, luxury vehicles, and investment portfolios. Data is compiled from public records, financial disclosures, and verified media reports.

Last Updated: April 3, 2026

Information Outlook & Future Earnings

Optimization Problems in Calculus Details
For 2026, Topic 5 Optimization Problems 6 - Latest Information & Updates 2026 remains one of the most searched-for topic profiles. Check back for the newest reports.

Disclaimer: Disclaimer: Information provided here is based on publicly available data, media reports, and online sources. Actual details may vary.