YouTube Excerpt: Euler's method

Information Profile Overview

  1. Euler S Method Calculus Bc - Latest Information & Updates 2026 Information & Biography
  2. Salary & Income Sources
  3. Career Highlights & Achievements
  4. Assets, Properties & Investments
  5. Information Outlook & Future Earnings

Euler S Method Calculus Bc - Latest Information & Updates 2026 Information & Biography

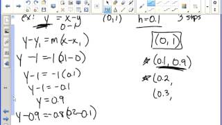
Euler's method | Differential equations| AP Calculus BC | Khan Academy Information
Looking for information about Euler S Method Calculus Bc - Latest Information & Updates 2026? We've gathered comprehensive data, latest updates, and detailed insights about Euler S Method Calculus Bc - Latest Information & Updates 2026. Uncover everything you need to know about this topic.

Details: $15M - $54M

Salary & Income Sources

Calculus BC – 7.5 Approximating Solutions Using Euler’s Method Content
Explore the main sources for Euler S Method Calculus Bc - Latest Information & Updates 2026. From highlights to business ventures, find out how they built their profile over the years.

Career Highlights & Achievements

BC Calculus:  Euler's Method Content
Stay updated on Euler S Method Calculus Bc - Latest Information & Updates 2026's latest milestones. Whether it's record-breaking facts or contributions, we track the accomplishments that shaped their success.

Celebrity Euler's Method Differential Equations, Examples, Numerical Methods, Calculus Profile
Euler's Method Differential Equations, Examples, Numerical Methods, Calculus
Famous Euler’s Method Practice Wealth
Euler’s Method Practice
AP Calc BC - 8.1 - Euler's Method Profile
AP Calc BC - 8.1 - Euler's Method
Celebrity Eulers Method AP Calculus BC Profile
Eulers Method AP Calculus BC
Euler's Method for Approximating Values of a Function Wealth
Euler's Method for Approximating Values of a Function
Famous CA Calculus BC Refresher - Euler's Method and Slope Fields Net Worth
CA Calculus BC Refresher - Euler's Method and Slope Fields
Famous Euler's Method - A Simple Table That Works Every Time Net Worth
Euler's Method - A Simple Table That Works Every Time
Famous Avon High School - AP Calculus BC - Topic 7.5 - Example 1 Profile
Avon High School - AP Calculus BC - Topic 7.5 - Example 1
Euler's Method for Differential Equations - Calculus 2 Net Worth
Euler's Method for Differential Equations - Calculus 2

Assets, Properties & Investments

This section covers known assets, real estate holdings, luxury vehicles, and investment portfolios. Data is compiled from public records, financial disclosures, and verified media reports.

Last Updated: April 3, 2026

Information Outlook & Future Earnings

Worked example: Euler's method | Differential equations| AP Calculus BC | Khan Academy Details
For 2026, Euler S Method Calculus Bc - Latest Information & Updates 2026 remains one of the most searched-for topic profiles. Check back for the newest reports.

Disclaimer: Disclaimer: Information provided here is based on publicly available data, media reports, and online sources. Actual details may vary.